合作客戶/
拜耳公司 |
同濟大學 |
聯合大學 |
美國保潔 |
美國強生 |
瑞士羅氏 |
相關新聞Info
推薦新聞Info
-
> 基于表面光散射法的棕櫚酸甲酯/乙酯高溫表面張力與黏度測量(三)
> 基于表面光散射法的棕櫚酸甲酯/乙酯高溫表面張力與黏度測量(二)
> 基于表面光散射法的棕櫚酸甲酯/乙酯高溫表面張力與黏度測量(一)
> 不同礦漿濃度、粒度、伴生礦物、捕收劑和起泡劑對礦漿表面張力的影響(三)
> 不同礦漿濃度、粒度、伴生礦物、捕收劑和起泡劑對礦漿表面張力的影響(二)
> 不同礦漿濃度、粒度、伴生礦物、捕收劑和起泡劑對礦漿表面張力的影響(一)
> 長慶油田隴東地區的CQZP-1助排劑表/界面張力測量及現場應用(三)
> 長慶油田隴東地區的CQZP-1助排劑表/界面張力測量及現場應用(二)
> 長慶油田隴東地區的CQZP-1助排劑表/界面張力測量及現場應用(一)
> 液膜斷裂點與電壓最大值在表面張力測量中的對比研究(二)
基于孔溶液表面張力和黏度測試揭示增稠劑對流變參數和氣泡結構的影響機制(二)
來源:材料導報 瀏覽 607 次 發布時間:2025-10-09
2結果與討論
2.1增稠劑溶液的黏度和表面張力變化
相同摻量下,DYJ的黏度最高,其次是HYJ,VAM和AD黏度在低摻量下接近,摻量達到0.10%之后,VAM黏度高于AD;VAM和AD的黏度隨著摻量的提高緩慢增大,而HYJ和DYJ溶液的黏度隨摻量的提高迅速提高,尤其是DYJ的增長幅度更為顯著。總體來看,增稠劑分子量越大,相同摻量時溶液的黏度越高。從表面張力的結果來看,相同摻量下,HYJ溶液的表面張力最高,其次是DYJ,VAM和AD的表面張力顯著低于其他兩種增稠劑,且AD略微高于VAM.
根據數據,對不同增稠劑溶液黏度隨摻量的變化進行擬合,獲得黏度與摻量的關系。最終確定了四種增稠劑溶液達到預期黏度(約1.5mPa·s和6mPa·s)的摻量,如表4所示。
表4達到預期黏度時的增稠劑摻量
2.2增稠劑對砂漿流變性能的影響
增稠劑溶液的黏度越高,砂漿的流動度越低。在較低黏度下,四種增稠劑對砂漿初始流動度的影響接近,60min時,AD的經時流動度最低,VAM流動度相對于基準砂漿略微下降;然而當溶液黏度提高至6mPa·s時,摻入HYJ和DYJ的砂漿流動度顯著低于AD和VAM,60min后的損失也更大,AD的經時流動度略低于基準砂漿。
采用改進的Bingham模型對砂漿的流變曲線進行擬合,獲取屈服應力和塑性黏度。當溶液黏度為1.5mPa·s時,砂漿的初始屈服應力和塑性黏度相對于基準砂漿略微增大,60min后的流變參數出現不同發展趨勢;當溶液黏度為6mPa·s時,砂漿的屈服應力均高于基準砂漿;VAM和AD砂漿的初始屈服應力高于基準砂漿147%和172%,塑性黏度高出基準砂漿的191%和220%;HYJ和DYJ砂漿的初始屈服應力高于基準砂漿619%和254%,初始塑性黏度高出基準砂漿的64%和82%.
2.3增稠劑對砂漿氣泡結構的影響
當溶液黏度為1.5mPa·s時,VAM和AD的摻入使砂漿初始含氣量相對于基準砂漿增大66%和71%,而HYJ和DYJ僅使初始含氣量提高26%和31%;當溶液黏度為6mPa·s時,VAM和AD的摻入使砂漿初始含氣量相對于基準砂漿增大46%和51%,而DYJ僅使初始含氣量提高6%,HYJ則降低含氣量26%.
氣泡結構測試表明,砂漿黏度越高,氣泡結構集中于較大尺寸范圍內。隨著時間推移,高黏度體系下,500——1000μm的氣泡含量顯著下降,而1000——2000μm的氣泡含量則顯著提高;低黏度體系下,300——500μm的氣泡含量有所增大。
2.4增稠劑對孔溶液性質的影響
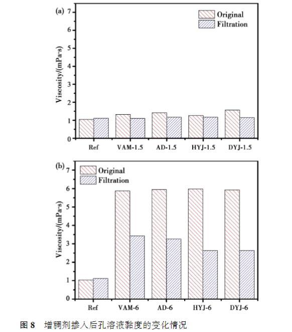
HYJ和DYJ溶液的表面張力與純水相近,VAM和AD溶液的表面張力則顯著低于純水。當增稠劑加入砂漿中后,抽濾得到的孔溶液性質發生改變:對于VAM和AD,孔溶液的表面張力相對原溶液略微增大1.50%——4.44%,黏度下降了16.21%——45.12%;對于HYJ和DYJ,孔溶液的表面張力相對原溶液下降幅度達到16.97%——23.57%,黏度僅下降6.82%——55.94%.復雜離子環境使孔溶液黏度有所下降,增稠劑摻量越高,黏度下降程度越大。
2.5砂漿流變性能與氣泡結構的相關性分析
孔溶液黏度與砂漿塑性黏度呈正相關性(線性擬合R2=0.9401);含氣量同時受孔溶液黏度和表面張力影響。當砂漿塑性黏度接近時,表面張力較高的增稠劑使含氣量更高;同一增稠劑摻量越大,塑性黏度越高,含氣量降低,但表面張力較低的增稠劑使含氣量變化幅度較小。氣泡聚并程度與砂漿塑性黏度整體呈線性負相關,表明增稠劑有助于阻礙氣泡聚并。
3結論
(1)增稠劑的加入顯著降低砂漿的流動度,提高砂漿的屈服應力和塑性黏度。
(2)原始溶液黏度相同的情況下,合成纖維素醚類增稠劑的表面張力較小,溶液受水泥礦相溶解產生的復雜離子環境影響較小,導致更小的砂漿孔溶液表面張力和黏度變化。
(3)各種增稠劑溶液的黏度與砂漿塑性黏度均呈正相關性;砂漿的含氣量同時受到孔溶液黏度和表面張力的影響,當砂漿塑性黏度接近時,具有較高表面張力的增稠劑使砂漿表現出更高的含氣量;采用同一增稠劑調節砂漿流變參數時,增稠劑摻量越大,砂漿塑性黏度越高,含氣量有所下降,但孔溶液表面張力較低的增稠劑使含氣量變化幅度較低。
(4)氣泡的聚并程度與砂漿塑性黏度整體呈線性負相關,采用增稠劑改變孔溶液的黏度有利于阻礙氣泡的聚并。





