合作客戶/
拜耳公司 |
同濟大學 |
聯合大學 |
美國保潔 |
美國強生 |
瑞士羅氏 |
相關新聞Info
推薦新聞Info
-
> 基于表面光散射法的棕櫚酸甲酯/乙酯高溫表面張力與黏度測量(三)
> 基于表面光散射法的棕櫚酸甲酯/乙酯高溫表面張力與黏度測量(二)
> 基于表面光散射法的棕櫚酸甲酯/乙酯高溫表面張力與黏度測量(一)
> 不同礦漿濃度、粒度、伴生礦物、捕收劑和起泡劑對礦漿表面張力的影響(三)
> 不同礦漿濃度、粒度、伴生礦物、捕收劑和起泡劑對礦漿表面張力的影響(二)
> 不同礦漿濃度、粒度、伴生礦物、捕收劑和起泡劑對礦漿表面張力的影響(一)
> 長慶油田隴東地區的CQZP-1助排劑表/界面張力測量及現場應用(三)
> 長慶油田隴東地區的CQZP-1助排劑表/界面張力測量及現場應用(二)
> 長慶油田隴東地區的CQZP-1助排劑表/界面張力測量及現場應用(一)
> 液膜斷裂點與電壓最大值在表面張力測量中的對比研究(二)
新型懸滴實驗系統的研制與二甲基亞砜/甲醇混合物表面張力測量(一)
來源:《化學工程》 瀏覽 525 次 發布時間:2025-12-04
利用新研制的懸滴法液體表面張力實驗系統測量了二甲基亞砜和甲醇在溫度為303.15—323.15K的表面張力,并擬合了計算方程。通過與文獻數據進行了比較發現,文中數據和方程與文獻數據偏差不超過±1%。在此基礎之上,測量了二甲基亞砜與甲醇二元混合溶液在303.15—323.15K溫度區間內,DMSO摩爾分數在0.1—0.9的表面張力,由結果可知不同配比下混合溶液表面張力實驗值隨溫度的升高呈線性減小的趨勢。
甲醇與傳統的車用燃料汽油有許多相似的性質:如二者的密度相同;著火點及燃燒時的火焰溫度相近。同時甲醇的來源廣泛、價格低廉,且不含石油燃料中必含的硫、苯、芳烴、烯烴等致癌物質,適宜作為汽油的替代燃料之一。與汽油相比,甲醇燃燒后的廢氣中CO、HC等有害物質的含量顯著降低[1-3]。同時,以固體聚合物作為電解質的直接甲醇燃料電池(DMFC),更兼有運行溫度低、易于封裝攜帶和安全性高等優點,未來將廣泛應用于便攜式電子設備和汽車等領域。
二甲基亞砜(DMSO)是一種較強的極性溶劑,可以與甲醇進行任意比例的互溶,同時具有較高的沸點和較強的可燃性,在石油、化工、醫藥、電子、合成纖維、塑料、印染等行業中常作為萬能溶劑。二甲基亞砜廣泛應用于動力學和電化學研究,常用作聚合物的溶劑。
表面張力作為燃料的重要性能指標,對于燃料在發動機汽缸內的霧化過程有著重要的影響。一般地,表面張力較高會導致汽油機噴霧困難,液體燃料不易破碎成較小的液滴,延長了燃燒時間,降低了汽油機的熱效率。因此,在設計和優化汽油機噴射器時,為了達到滿意的霧化性能指標,以提高汽油機效率和降低有害污染物和顆粒排放,首先必須精確地獲取燃料在較寬的溫度范圍內的表面張力。但是,國內外現有的研究文獻表明,甲醇與二甲基亞砜混合物表面張力數據仍屬空白,因此本文將利用課題新研制的高精度懸滴實驗系統測量了其混合物表面張力,為柴油機噴射系統的設計提供數據支撐。
實驗本體材料為316不銹鋼,設計承壓范圍為0—20MPa,兩端設計有法蘭結構的觀察窗。懸滴通過不銹鋼針頭形成,其端口平整,外徑規格為(1.61±0.005)mm,內徑為0.3mm,通過螺紋結構緊固于本體內。采用LED白色冷光源和1400萬像素的CMOS相機及其放大鏡頭采集懸滴圖像。實驗本體溫度采用電加熱分段控制,在其非觀察面上均勻纏繞電加熱絲并利用Fluke2100溫度控制器控制其溫度,在觀察窗兩側安裝有加熱筒,并控制加熱筒的溫度高于本體溫度約5—10℃,防止在升溫的過程中窗口結霧。實驗系統的溫度范圍為20—180℃,溫度波動度好于±10mK。本體溫度采用ASL F200高精度溫度測量儀測量,校準證書顯示的全量程測溫不確定度為±10mK,Pt100溫度計由北京計量院標定,標定證書顯示的不確定度為±5mK。因此,本文實驗系統的溫度擴展不確定度為±30mK(k=2)。實驗本體通過螺紋桿懸至于環氧樹脂保溫箱體內部,并利用調平螺母調節本體的高度和水平,從而使其內部的針管處于鉛垂位置并在相機視野的中心。待本體溫度穩定30min后,開始采集懸滴圖像,每滴采集10次,間隔為3s,至少采集3個懸滴共計30張圖片,擬合計算并取平均值作為最后的實驗結果。
3 結果與討論
3.1 系統測量不確定度分析
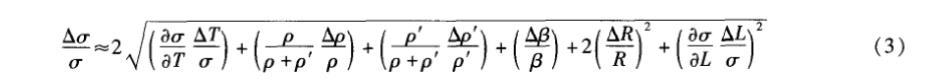
本文實驗系統的測量不確定度由以下誤差傳遞公式估計為:
式中:(?σ/?T)·(ΔT/σ)表示溫度波動引入的不確定度;Δρl/(ρl-ρg)和Δρg/(ρl-ρg)分別表示氣液相密度值引入的不確定度;Δβ/β和ΔR0/R0表示擬合計算結果引入的不確定度;(?σ/?L)·(ΔL/σ)表示像素尺寸誤差引入的不確定度。
實驗系統的溫度擴展不確定度為±30mK(k=2)。液體溫度變化1K所引起的表面張力變化小于0.2mN/m,當所測液體的表面張力大于10mN·m時,溫度的不確定度為(?σ/?T)·(ΔT/σ)≈0.06%。氣液相密度的不確定度貢獻分別為0.005%和0.2%。重力加速度值一般比較精確,其不確定度貢獻可忽略。擬合β和R0的不確定度貢獻分別為Δβ/β=0.05%和ΔR0/R0=0.005%。考慮到0.001μm的像素尺寸誤差引入的偏差約為0.05%,像素尺寸的誤差不超過0.001μm,因此由像素尺寸引入的不確定度貢獻(?σ/?L)·(ΔL/σ)小于0.05%。綜上所述,本文系統測量表面張力的擴展不確定度為0.44%(k=2)。
表1為利用懸滴實驗系統測量的二甲基亞砜及甲醇在303.15–323.15 K溫度區間內的表面張力值。其中,二甲基亞砜的密度數據取自文獻[9]采用AntonPaarU型振動管密度計測得的結果。甲醇的密度數據取自NIST REFPROP9.0[10]。本文測量時的溫度不高,各物質的氣相密度很小,因此在實際計算中可將其忽略不計。實驗過程中所使用的二甲基亞砜及甲醇均采購自阿拉丁化學試劑有限公司,純度為99.5%,使用前未做進一步提純。
表1 二甲基亞砜和甲醇表面張力實驗數據| T / K | ρ / (kg·m-3) | σexp / (mN·m-1) | T / K | ρ / (kg·m-3) | σexp / (mN·m-1) |
|---|---|---|---|---|---|
| 303.16 | 1.0908 | 41.88 | 303.16 | 0.78154 | 21.70 |
| 308.14 | 1.0858 | 41.28 | 308.14 | 0.77683 | 21.30 |
| 313.16 | 1.0808 | 40.73 | 313.16 | 0.77208 | 20.88 |
| 318.13 | 1.0758 | 40.16 | 318.13 | 0.76733 | 20.39 |
| 323.12 | 1.0708 | 39.67 | 323.12 | 0.76182 | 19.96 |
分別將二甲基亞砜和甲醇表面張力數據擬合為Van der Waals形式:
σ = σ0 (1 - T/Tc)μ (4)
式中:Tc的單位為K;二甲基亞砜的臨界溫度為Tc=707K,擬合值σ0=76.255911 mN/m,μ=1.07134,實驗值與方程擬合值的最大偏差為0.085%,平均偏差為0.06%;甲醇的臨界溫度為Tc=512.6K,擬合值σ0=46.05784 mN/m,μ=0.839733,實驗值與方程擬合值的最大偏差為0.16%,平均偏差為0.089%。





