合作客戶/
拜耳公司 |
同濟大學 |
聯合大學 |
美國保潔 |
美國強生 |
瑞士羅氏 |
相關新聞Info
推薦新聞Info
-
> 基于表面光散射法的棕櫚酸甲酯/乙酯高溫表面張力與黏度測量(三)
> 基于表面光散射法的棕櫚酸甲酯/乙酯高溫表面張力與黏度測量(二)
> 基于表面光散射法的棕櫚酸甲酯/乙酯高溫表面張力與黏度測量(一)
> 不同礦漿濃度、粒度、伴生礦物、捕收劑和起泡劑對礦漿表面張力的影響(三)
> 不同礦漿濃度、粒度、伴生礦物、捕收劑和起泡劑對礦漿表面張力的影響(二)
> 不同礦漿濃度、粒度、伴生礦物、捕收劑和起泡劑對礦漿表面張力的影響(一)
> 長慶油田隴東地區的CQZP-1助排劑表/界面張力測量及現場應用(三)
> 長慶油田隴東地區的CQZP-1助排劑表/界面張力測量及現場應用(二)
> 長慶油田隴東地區的CQZP-1助排劑表/界面張力測量及現場應用(一)
> 液膜斷裂點與電壓最大值在表面張力測量中的對比研究(二)
水和乙二醇-水混合體系中的離子液體-陽離子表面活性劑混合膠束自聚焦-電導法 表面張力法和光譜研究法—
來源:上海謂載 瀏覽 2388 次 發布時間:2021-12-16
摘要
在純水和二甘醇(DEG)-水二元混合物存在下,采用電導法、張量法和光譜法研究了咪唑基表面活性離子液體(SAIL)1-癸基-3-甲基咪唑氯化物[C10min][Cl]與陽離子表面活性劑西特里米特(CET)的相互作用。DEG的加入對所研究體系的熱力學和聚集行為有顯著影響。根據電導法計算了各種參數,如臨界膠束濃度(cmc)、組分1的膠束摩爾分數X1(CET)、膠束相互作用參數β、組分1和組分2的活度系數?1和?2(SAIL)、膠束化的標準吉布斯能(ΔGm0),和反離子解離度(g)。魯賓的非理想溶液理論證實了混合膠束中表面活性劑分子之間的吸引和非理想行為。通過張力測定研究,評估了不同的參數,如表面張力降低效率(pC20)、最大表面過量濃度(Γmax)、每個表面活性劑分子的最小面積(Amin)和界面處吸附ΔGad 0的標準吉布斯自由能。對于純體系和混合體系,還評估了兩親分子在膠束中的堆積參數P、疏水鏈的體積貢獻v及其有效長度lC。形成的膠束/混合膠束具有球形幾何形狀。甲酚紅是一種陰離子染料,用作純體系和混合體系紫外-可見光譜的探針,支持SAIL在混合膠束化過程中的作用。
1.介紹
離子液體,特別是室溫離子液體,由于其許多獨特的性質,包括可忽略的蒸汽壓,作為有毒溶劑、電化學的替代品和環境友好的替代品,以及在化學工業中用作反應介質,目前正受到極大的關注[1,2]。離子液體特別是表面活性離子液體(SAIL)在性質上是兩親性的,因為它們的分子中既有親水部分,也有疏水部分,因此它們表現出良好的表面/界面活性和膠束形成。在許多研究中,傳統的表面活性劑與離子液體混合,表面活性劑在這些離子液體中的聚集方式與在水中的聚集方式類似,但存在一些差異。第一個區別是,大多數純離子液體的表面張力低于純水的表面張力。第二個區別是,離子液體中表面活性劑的cmc大于純水中的cmc,原因可能是與純水中表面活性劑的疏水相互作用相比,離子液體中表面活性劑之間的疏水相互作用較低[3–6]。在一些研究中,水性離子液體被用作表面活性劑溶液的溶劑[7–13]。在大多數研究中,表面活性劑的cmc取決于離子液體的濃度。還觀察到,在離子液體濃度較低時,cmc呈下降趨勢,而在較高濃度時,cmc表現出增加的行為[8–9]。最近報道了1-烷基-3-甲基咪唑溴化離子液體對大型水蚤的毒性和抗氧化防御系統活性,主要歸因于高濃度的離子液體[14]及其在斑馬魚氧化應激和DNA損傷中的作用[15]。同樣,也對大鼠的亞慢性毒性進行了研究[16],但只有少數研究報告了毒性作用。
十六烷基三甲基溴化銨是一種陽離子表面活性劑,由三種陽離子表面活性劑(十二烷基、十四烷基和十六烷基三甲基溴化銨)組合而成,其中十四烷基三甲基溴化銨按重量構成混合物的主要組分,并表現為單一表面活性劑。西曲米特有著廣泛的應用,最重要的應用包括其作為DNA提取、金納米顆粒合成和頭發調理產品的緩沖液[17]。除此之外,它還被用于大量抗菌活動,因此被用于控制醫院、食品加工中的細菌感染,并作為商店和建筑物中藻類控制的有效措施[18]。
表面活性劑的混合對于工業應用非常重要,因為表面活性劑的混合在其物理性質上表現出不同的變化。這些混合系統在分離、去污、泡沫生成和分散技術中有廣泛的應用[19,20]。不同的工作人員研究了這些表面活性劑的行為,并通過考慮各種類型的離子/非離子表面活性劑組合,研究了它們在頭基團之間可能的相互作用[21–23]。為了預測表面活性劑之間的分子相互作用,不同的研究人員提出了各種模型來預測兩種表面活性劑之間的協同作用,其中Clint[24]和Rubingh[25]是最常用的。Clint模型[24]用于計算混合膠束的理想cmc,而Rubingh模型[25]基于正規溶液理論解釋了混合系統的非理想性。
因此,牢記混合表面活性劑的上述優點,已嘗試研究陽離子表面活性劑與表面活性離子液體在純水中以及在二甘醇(DEG)-水二元混合物存在下的混合膠束化,為了進一步了解二甘醇對這些混合體系的影響。所使用的離子液體為1-癸基-3-甲基咪唑氯化物[C10min][Cl],陽離子表面活性劑為十六烷基三胺(CET),陰離子染料為甲酚紅(CR)(方案1)。ILs在兩相均相催化過程中也有廣泛的應用,在這些催化過程中,含有催化劑的一相與含有反應物和產物的第二相完全不混溶。正如我們所知,二甘醇是一種有機溶劑,因此大多數催化反應被認為發生在離子液體和有機溶劑的界面[26]。
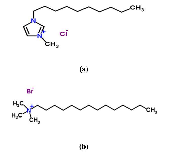
方案一.(a)1-癸基-3-甲基咪唑氯化銨(b)三甲基乙酰胺和(c)甲酚紅的分子結構。
已經對混合膠束化的熱力學以及二元混合物中不同表面活性劑之間的分子相互作用進行了大量研究[27,28]。Hemmateenejad等人[29]研究了1-十二烷基-3-甲基咪唑氯化物[C12mim][Cl]和表面活性劑十二烷基三甲基氯化銨(DTAC),以便使用電導法比較IL和表面活性劑在甲醇-水二元溶劑中的聚集行為,他們發現離子液體[C12mim][Cl]在水和甲醇中形成聚集體,就像DTAC表面活性劑在水和其他介質中形成聚集體一樣。選擇水二甘醇作為溶劑的動機在于表面活性劑的膠束化主要取決于溶劑的性質,而共溶劑的加入影響溶劑的極性和溶劑的微環境。聚乙二醇(PEG)、甘油、乙二醇、二甘醇和甘油等二醇是非水環境友好型,可用于調節許多咪唑基離子液體的物理化學性質[30]。這些溶劑主要與水混溶,因為它們可以與自身或水分子形成氫鍵。兩親分子的聚集特性可通過使用有機共溶劑進行調節,因為它們具有不同的性質,即:。,與水相比,低介電常數、低內聚能和相當少的氫鍵能力[31,32]。在存在有機共溶劑的情況下,烴鏈的溶劑恐懼性降低,從而延遲聚集過程[33]。





