合作客戶/
拜耳公司 |
同濟大學 |
聯合大學 |
美國保潔 |
美國強生 |
瑞士羅氏 |
相關新聞Info
推薦新聞Info
-
> 基于表面光散射法的棕櫚酸甲酯/乙酯高溫表面張力與黏度測量(三)
> 基于表面光散射法的棕櫚酸甲酯/乙酯高溫表面張力與黏度測量(二)
> 基于表面光散射法的棕櫚酸甲酯/乙酯高溫表面張力與黏度測量(一)
> 不同礦漿濃度、粒度、伴生礦物、捕收劑和起泡劑對礦漿表面張力的影響(三)
> 不同礦漿濃度、粒度、伴生礦物、捕收劑和起泡劑對礦漿表面張力的影響(二)
> 不同礦漿濃度、粒度、伴生礦物、捕收劑和起泡劑對礦漿表面張力的影響(一)
> 長慶油田隴東地區的CQZP-1助排劑表/界面張力測量及現場應用(三)
> 長慶油田隴東地區的CQZP-1助排劑表/界面張力測量及現場應用(二)
> 長慶油田隴東地區的CQZP-1助排劑表/界面張力測量及現場應用(一)
> 液膜斷裂點與電壓最大值在表面張力測量中的對比研究(二)
Delta-8臨界膠束濃度對于藥物在生物體內的增溶性的重要性研究——實驗部分
來源:上海謂載 瀏覽 2010 次 發布時間:2021-12-21
實驗部分
化學制品。這些化合物要么在羅氏創新中心合成,要么從不同的商業來源購買。通過向1 L蒸餾水中添加4.86 g KH2PO4和2.02 g Na2HPO4(密蘇里州圣路易斯市西格瑪),制備pH值為6.5、0.05 M的磷酸鹽緩沖液,然后通過密理博Express PLUS過濾器(德國達姆施塔特密理博0.22μM)過濾。FaSSIF buffer準備從SIF粉末(BioReavangtcom,Croydon,英國),根據一個詳細的協議。15
在水和FaSSIF介質中的平衡溶解度。將精確稱量的約1 mg化合物干粉置于玻璃管中,并添加330μL緩沖液。然后將樣品超聲處理1小時(Branson 1210,Branson Ultrasonics,Danbury,CT),在室溫下搖動2小時,并靜置過夜以平衡。第二天,檢查樣品的pH值,并通過MultiScreenHTS PCF過濾器(德國達姆施塔特密理博)過濾溶液。用0.05 M HCl/20%乙腈(v/v)稀釋濾液的等份,以生成三種不同的樣品:未稀釋和稀釋為1:10和1:100。化合物校準曲線由在0.05 M HCl/20%乙腈(v/v)中稀釋的標準1 mg/mL二甲基亞砜溶液生成。校準標準品和樣品隨后通過LC進行分析?紫外線?MS,如下所述。
溶解度增強SE計算為在FaSSIF和水性緩沖液中測得的溶解度比率(等式1):
表面活性測定。化合物在DMSO中連續稀釋超過12種不同濃度,并在pH值為6.5的0.05 M磷酸鹽緩沖液中添加至最終10%的DMSO含量。最終化合物濃度默認范圍為10 nM至10 mM。在第二次實驗中,對于達到溶解度極限或需要對相關濃度范圍進行解析以確定最佳參數的情況,定義了替代濃度范圍。樣品靜置10分鐘,以便在液體中平衡?空中接口。表面壓力分布在張力計(MultiPi WS1,Kibron Inc.,芬蘭赫爾辛基)上進行,通過之前的測量(72.8 mN/m)對50μL等份樣品進行校準。通過對生成的等溫線進行曲線擬合確定表面活性參數,并根據經典的空氣吉布斯熱力學理論進行計算?水里,臉上。主要導出參數如下。(i)考:空氣?水分配系數,來自等式2
式中,π對應于表面壓力,C對應于化合物濃度。(ii)CMC:對應于最大表面壓力下平臺截距和曲線外推斜率的臨界膠束濃度(?π/?lnc)處于拐點(圖3)。(iii)ΔΔGam:式3中的兩親性
式中,R是理想氣體常數,T是以開爾文為單位的溫度。(iv)As:界面面積,來自等式4

其中NA是阿伏伽德羅的數字。
電離研究。電離常數(PKA)是通過PrimuleSGA儀器(天狼星分析儀器有限公司,森林街,英國)分光光度法獲得的。在室溫下,以恒定流速將試驗品的水溶液注入流動的pH梯度中。監測化合物紫外吸光度的變化,作為pH梯度的函數,并在紫外波長處測定電離常數,其中化合物吸光度的變化率達到最大值。通過按比例混合兩種流動緩沖液(含10%/vol甲醇),建立pH梯度。緩沖液是弱酸和弱堿的混合物,在240 nm波長以上吸收不明顯。對于電離常數未經實驗測定的化合物,pKa是使用現有的公共和羅氏專利化合物訓練的市售Moka-in-silico模型計算的。16
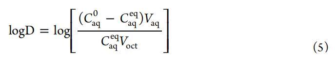
親脂性(logD)測定。在分配實驗之前,在室溫下,辛醇和pH為6.5的25 mM磷酸鹽緩沖液相互飽和。將化合物作為10mM的DMSO儲備溶液添加到辛醇飽和磷酸鹽緩沖液中,得到100μM的樣品溶液。然后,將1.2 mL溶液通過密理博96深井過濾器(密理博,達姆施塔特,德國)過濾到Nunc 96深井板(Nalge Nunc International,Rochester,NY)中,并用200μL辛醇飽和磷酸鹽緩沖液稀釋至最終1.4 mL體積。將等分濾液(Vaq=150μL)轉移至羅氏公司生產的Teflon 96孔板上,并通過自動液體處理系統覆蓋DIF管(瑞士Rapperswill Weidmann Plastics Technology AG),預涂兩種不同體積的辛醇(Voct=1和15μL;每種體積n=3)(Bio-RAPTR FRD,Beckmann Coulter,Brea,CA)或不含辛醇作為初始含水化合物濃度的參考(每種化合物n=2;Caq 0)。將分析試劑盒密封并在室溫下搖動過夜,直到達到分布平衡。從特氟隆板頂部拆卸DIF管后,使用LC測定平衡時(Caqeq)和初始條件下(Caq0)水相中的化合物濃度?紫外線?MS,如下所述。
根據公式5計算分配系數logD

式中,Vaq和Voct分別是培養板上的飽和水相和辛醇相體積。
對于一些pH值為6.5的實驗數據不可用的化合物,使用上述相同方法在pH值為7.4時測量logD,或使用計算程序Kow_clogP17或參考文獻數據預測logP值。在這種情況下,使用ADMET預測器logD vs pH模型版本6.1(加利福尼亞州蘭開斯特Simulations Plus,Inc.,Lancaster),基于參考文獻18中開發的模型,將logD或logP值和表2中列出的pKa數據作為輸入參數,實現了pH值為6.5時logD的外推。
表2。測定了51種化合物的表面張力特性
高效液相色譜法分析化合物濃度?紫外線?MS樣品在安捷倫1260 Infinity(溶解度樣品)或安捷倫1290 Infinity(logD樣品)HPLC-MS系統(安捷倫科技,加利福尼亞州圣克拉拉)中進行分析,該系統配備DAD檢測器和API單四重質譜儀(安捷倫6140,加利福尼亞州圣克拉拉)。將樣品注入Kinetex XB 2.6μm、2.1×50 mm(溶解度樣品)或Kinetex XB 1.7μm、2.1×30 mm(logD樣品)分析柱(Phenomenex,Torrance,CA),在60°C下操作。流動相由a(水)和B(乙腈)組成,均含有0.1%體積的甲酸。使用通用快速梯度,以1.5 mL/min(溶解度樣品)或1.0 mL/min(logD樣品)的流速進行梯度洗脫。通過DAD檢測器后,將洗脫液引入電噴霧界面,保持以下源設置:毛細管電壓+3.5 kV,干燥氣體流量(N2)13 L/min,霧化器壓力60 psig,干燥氣體溫度350°C。偽分子離子強度積分,[M+H]+,在單反應監測模式(SRM)下獲取。對于logD樣品,通過注入1、3和5μL對照溶液完成MS數據的內部校準。如果UV靈敏度足夠,則使用適當波長處的峰面積進行計算。





