合作客戶/
拜耳公司 |
同濟大學 |
聯合大學 |
美國保潔 |
美國強生 |
瑞士羅氏 |
相關新聞Info
推薦新聞Info
-
> 基于表面光散射法的棕櫚酸甲酯/乙酯高溫表面張力與黏度測量(三)
> 基于表面光散射法的棕櫚酸甲酯/乙酯高溫表面張力與黏度測量(二)
> 基于表面光散射法的棕櫚酸甲酯/乙酯高溫表面張力與黏度測量(一)
> 不同礦漿濃度、粒度、伴生礦物、捕收劑和起泡劑對礦漿表面張力的影響(三)
> 不同礦漿濃度、粒度、伴生礦物、捕收劑和起泡劑對礦漿表面張力的影響(二)
> 不同礦漿濃度、粒度、伴生礦物、捕收劑和起泡劑對礦漿表面張力的影響(一)
> 長慶油田隴東地區的CQZP-1助排劑表/界面張力測量及現場應用(三)
> 長慶油田隴東地區的CQZP-1助排劑表/界面張力測量及現場應用(二)
> 長慶油田隴東地區的CQZP-1助排劑表/界面張力測量及現場應用(一)
> 液膜斷裂點與電壓最大值在表面張力測量中的對比研究(二)
產低溫β-甘露聚糖酶的菌株O5提升低溫油藏壓裂液的破膠性能——實驗部分
來源:應用化學 熊玉華, 周蕾, 楊世忠, 牟伯中 瀏覽 1260 次 發布時間:2024-09-11
1、實驗部分
1.1儀器和試劑
SpectraMax M5型多功能酶標儀(美國Molecular Devices公司);MB100-4A型微孔板恒溫震蕩器(杭州奧盛儀器有限公司);ZHLY-180型立式恒溫振蕩培養箱(上海知楚儀器有限公司);Sigma 3K15型臺式高速冷凍離心機(德國希格瑪公司);ProFlex型PCR儀(美國賽默飛公司);DV-ⅢULTRA型粘度計(美國Brookfield公司);旋轉滴法界面張力儀(芬蘭Kibron公司);EZ-Pi Plus便攜式動態表面張力儀(芬蘭Kibron公司)。
瓜爾膠為工業級,由長慶鈺宸公司提供;葡萄糖、NaCl、KH2PO4、Na2HPO4、MgSO4、NH4NO3、CuSO4、Na2MoO4·2H2O、FeSO4·7H2O、KCl、CaCl2、MnCl2·4H2O、D-?甘露糖和3,?5-?二硝基水楊酸(3,?5-Dinitrosalicylic acid,DNS)均為分析純試劑;胰蛋白胨、大豆蛋白胨、酵母粉、蛋白胨、植物凝膠和瓊脂均為生物試劑;細菌基因組DNA抽提試劑盒購買于德國凱杰QIAGEN公司;細菌16S rRNA基因通用引物8F(5'-AGAGTTTGATCCTGGCTCAG-3')和805R(5'-GACTACCAGGGTATCTAATC-3')由南京金斯瑞生物科技股份有限公司合成。
1.2實驗方法
1.2.1樣品來源與培養基
本實驗所用的水樣是由長慶油田提供的壓裂液返排水,土樣采自云南省楚雄市魔芋生產田地。
富集培養基:胰蛋白胨15.0 g/L、大豆蛋白胨5.0 g/L、酵母粉2.5 g/L、葡萄糖2.5 g/L、NaCl 5.0 g/L、KH2PO4 2.5 g/L;固體初篩培養基:瓜爾膠10.0 g/L、KH2PO4 2.5 g/L、Na2HPO4 4.0 g/L、MgSO4 0.2 g/L、植物凝膠15.0 g/L、NH4NO3 1.0 g/L;復篩培養基:瓜爾膠10.0 g/L、NH4NO3 1.0 g/L、KH2PO4 2.5 g/L、Na2HPO4 4.0 g/L、MgSO4 0.2 g/L、酵母粉0.5 g/L、微量元素1.0%(體積分數);發酵產酶培養基:瓜爾膠15.0 g/L、NH4NO3 1.0 g/L、KH2PO4 2.5 g/L、Na2HPO4 4.0 g/L、MgSO4 0.2 g/L、酵母粉0.5 g/L、微量元素1.0%(體積分數);微量元素配方:CuSO4 0.1 g/L、Na2MoO4·2H2O 0.1 g/L、FeSO4·7H2O 2.0 g/L、CaCl2 1.0 g/L、MnCl2·4H2O 0.5 g/L;種子培養基:蛋白胨10.0 g/L、酵母粉5.0 g/L、NaCl 10.0 g/L;LB固體培養基:蛋白胨10.0 g/L、酵母粉5.0 g/L、NaCl 10.0 g/L、瓊脂18.0 g/L。以上培養基在使用前,均在121℃高壓滅菌20 min。
1.2.2菌株的高通量篩選
稱取1.0 g魔芋地土樣于錐形瓶中(魔芋地的土壤環境適合β-甘露聚糖酶產生菌的生長),加入5.0 mL水樣和100.0 mL蒸餾水,在37℃、180 r/min的立式恒溫振蕩培養箱(搖床)中震蕩培養30 min,充分混勻后室溫靜置1 h,分層后取2.0 mL上層清液轉接于200.0 mL富集培養基中培養,37℃、180 r/min恒溫震蕩48 h。取200.0μL富集培養的菌液均勻涂布于以瓜爾膠為唯一碳源的OD 90 mm(培養基直徑為90 mm)固體初篩培養基上,倒置培養60 h,之后用1.0%(質量分數)剛果紅染液染色,觀察菌落周圍有無透明圈,挑取透明圈大的單菌落轉接到于裝有2.0 mL復篩培養基的96孔培養板中繼續培養,在微孔板恒溫震蕩器中37℃、500 r/min震蕩培養48 h。將培養后的發酵液置于臺式高速冷凍離心機(離心機)中,4℃、3000 r/min離心20 min,上清液即為粗酶液,根據瓜爾膠降解情況及酶活力大小進行復篩,同時進行甘油保藏(甘油和LB溶液的體積比為1∶1)。
1.2.3菌株的形態觀察及種屬鑒定
形態特征觀察將篩選得到的菌株接種于種子培養基中,37℃、180 r/min活化培養,取對數生長期菌液稀釋涂布于LB固體培養基上,37℃倒置培養,觀察菌落的形態特征。采用革蘭氏染色法,在顯微鏡下觀察菌體結構,并通過掃描電子顯微鏡觀察菌體形態及大小。
分子生物學鑒定按照細菌基因組DNA抽提試劑盒說明書進行DNA的提取,以基因組DNA為模版,采用細菌的通用引物8F和805R進行PCR(聚合酶鏈式反應)擴增。對PCR產物進行瓊脂糖凝膠電泳檢測后,送至上海華大基因科技有限公司測序。將測序結果在NCBI數據庫中(http://www.ncbi.nlm.gov/blast/)進行BLAST同源性比對(BLAST是在NCBI數據庫中進行相似性分析的工具),并利用MEGA軟件的N-J法構建系統發育進化樹。
1.2.4酶活力的測定
采用3,5-二硝基水楊酸法對β-甘露聚糖酶酶活力進行測定,用pH=7.0的PBS緩沖液(每100 mL PBS緩沖液由38 mL 0.2 mol/L的Na2HPO4和62 mL 0.2 mol/L的KH2PO4配成)配制0.5%(質量分數)的瓜爾膠底物溶液。反應體系包含50.0μL粗酶液和450.0μL的瓜爾膠底物溶液,50℃反應10 min后,加入1.0 mL的DNS試劑終止反應,沸水浴10 min顯色后,立刻冰水浴冷卻至室溫。取200.0μL反應液轉移至96孔板中,在540 nm處用多功能酶標儀測定吸光度,實驗每組設置3個平行,結果取平均值。以不同濃度D-甘露糖為標準品制作標準曲線,并根據標準曲線計算產生的還原糖量。在一定溫度和pH值條件下,1 min催化底物水解產生1.0μmol相當于D-甘露糖的還原糖所需要的酶量,定義為1.0個酶活力單位。采用Bradford法測定蛋白質濃度,比活的定義為:每毫克酶蛋白所具有的酶活力。
1.2.5酶學性質表征
粗酶液的制備在無菌環境下將篩選得到的菌株接種到種子培養基中,37℃、180 r/min活化培養24 h,按5.0%的接種量轉接到發酵產酶培養基中,37℃、180 r/min搖床培養72 h,將發酵液于4℃下,9000 r/min離心20 min,收集上清液,上清液即為粗酶液,于4℃冰箱冷藏備用。
最適溫度按照1.2.4小節的方法分別在不同溫度:5、10、15、20、25、30、35、40、50、60、70、80、90和100℃下反應,測定β-甘露聚糖酶活力。以未經處理的同溫度下的瓜爾膠底物溶液作為空白對照。以最適溫度下的酶活力為100%,計算不同溫度下的相對酶活力。實驗每組設置3個平行樣,結果取平均值(下同)。
最適pH值分別用pH值為2.0、3.0、4.0、5.0、6.0、7.0、8.0、9.0、10.0、11.0和12.0的緩沖液配制0.5%(質量分數)瓜爾膠底物溶液,按照1.2.4小節的方法在最適溫度下測定β-甘露聚糖酶活力。以未經處理的相同pH值的瓜爾膠底物溶液作為空白對照。以最適pH值下的酶活力為100%,計算不同pH值下的相對酶活力。
熱穩定性將粗酶液分別在60、70和80℃的恒溫水浴中孵育1 h,孵育期間每隔10 min取50.0μL該粗酶液加入瓜爾膠底物溶液中,按照1.2.4小節的方法在最適反應條件下測定β-甘露聚糖酶的殘余活力,以評價酶的熱穩定性。
pH值穩定性將粗酶液分別在pH值為4.0、5.0、6.0、7.0、8.0和9.0的緩沖液中孵育2 h,孵育期間每隔20 min取50.0μL該粗酶液加入瓜爾膠底物溶液混勻。按照1.2.4小節的方法在最適條件下測定β-甘露聚糖酶的殘余活力,以評價酶的pH值穩定性。
1.2.6低溫降解瓜爾膠
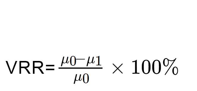
配制0.8%(質量分數)的瓜爾膠底物溶液,加入1.0%(體積分數)的粗酶液,分別在5和20℃下恒溫水浴,測定不同作用時間下瓜爾膠溶液的粘度變化,每次測量3次取平均值。以未經處理的瓜爾膠溶液作為空白對照,評價反應溫度為5和20℃時,β-甘露聚糖酶對瓜爾膠的降粘效果。降粘率(Viscosity Reduction Rate,VRR)的計算如公式(1)所示:
式中,μ0為降粘前的粘度(mPa?s),μ1為降粘后粘度(mPa?s)。
1.2.7破膠性能評價
壓裂液的配制按照國標SY/T 5107-2016《水基壓裂液性能評價方法》中壓裂液試樣制備方法制備壓裂液。壓裂液配方為:基液:0.35%(質量分數)瓜爾膠、1.0%(質量分數)KCl、0.1%(質量分數)殺菌劑、0.18%(質量分數)Na2CO3、0.036%(質量分數)NaHCO3;交聯液:1.0%(體積分數)硼砂溶液,交聯劑比為100∶5(體積比);酶破膠劑:1.0%(體積分數)。
粘度的測定按配方配制壓裂液,將加入酶破膠劑的凍膠分別置于5、10、15、20、25、30、40、50、60、70、80和90℃的恒溫水浴中,在破膠3和6 h時取其上層清液,于室溫下用粘度計測定破膠液的粘度,每次測量3次取平均值(下同)。
表面張力和界面張力的測定待壓裂液交聯后,加入酶破膠劑,分別在10、20和50℃的恒溫水浴中破膠3 h,待破膠液的粘度降低到5 mPa·s以下后,將破膠液倒入燒杯中,用表面張力儀測定破膠液的表面張力,用界面張力儀測定破膠液與煤油界面張力,測試溫度為50℃。
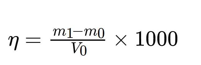
殘渣量的測定按照國標SY/T 5107-2016《水基壓裂液性能評價方法》中指出的殘渣量的檢測方法進行測定。制備定量體積V0的壓裂液凍膠,加入酶破膠劑,分別置于10、20和50℃的恒溫水浴中破膠。室溫測定破膠液粘度低于5 mPa·s時視為徹底破膠。將徹底破膠后的溶液全部轉移到已經烘干稱重的離心管中(質量記為m0),在離心機中5000 r/min離心30 min,慢慢倒出上層清液,然后用蒸餾水清洗破膠容器后倒入離心管中,再次離心20 min并倒出上層清液。將離心管放入干燥箱中105℃下烘干至恒重(質量記為m1)。壓裂液殘渣含量計算如公式(2)所示:
式中,η為壓裂液殘渣質量濃度(mg/L);(m1-m0)為殘渣質量(mg);V0為壓裂液用量(mL)。
產低溫β-甘露聚糖酶的菌株O5提升低溫油藏壓裂液的破膠性能——摘要





