合作客戶/
拜耳公司 |
同濟大學 |
聯合大學 |
美國保潔 |
美國強生 |
瑞士羅氏 |
相關新聞Info
推薦新聞Info
-
> 基于表面光散射法的棕櫚酸甲酯/乙酯高溫表面張力與黏度測量(三)
> 基于表面光散射法的棕櫚酸甲酯/乙酯高溫表面張力與黏度測量(二)
> 基于表面光散射法的棕櫚酸甲酯/乙酯高溫表面張力與黏度測量(一)
> 不同礦漿濃度、粒度、伴生礦物、捕收劑和起泡劑對礦漿表面張力的影響(三)
> 不同礦漿濃度、粒度、伴生礦物、捕收劑和起泡劑對礦漿表面張力的影響(二)
> 不同礦漿濃度、粒度、伴生礦物、捕收劑和起泡劑對礦漿表面張力的影響(一)
> 長慶油田隴東地區的CQZP-1助排劑表/界面張力測量及現場應用(三)
> 長慶油田隴東地區的CQZP-1助排劑表/界面張力測量及現場應用(二)
> 長慶油田隴東地區的CQZP-1助排劑表/界面張力測量及現場應用(一)
> 液膜斷裂點與電壓最大值在表面張力測量中的對比研究(二)
表面張力測定方法之動態法
來源:王輝 瀏覽 1575 次 發布時間:2022-10-08
毛細管上升法、zui大氣泡壓力法、DuNouy吊環法、Wilhelmy吊片法、滴重法和滴體積法等是測定平衡時的表面張力,即靜態張力。毛細管上升法不能用于動態表面張力的測定,其他方法在操作上稍作改進即可用于測定動態表面張力,但各自適用的時間范圍不同。zui大氣泡法適用于.10ms一1s的動態表面張力;吊片法適用于幾分鐘到幾小時的動態表面張力;滴重法適用于幾分鐘到0.1s之間的動態表面張力,特別適用于液液界面的動態表面張力。但是,對于時間極短的溶液表面張力的變化,則需用動態法測量。動態測量法中目前應用較多的有振蕩射流法、旋滴法、懸滴法等。關于實驗方法的選擇,除考慮時間特征和表面張力范圍外,也要結合樣品的特點,如是否透明、潤濕性等。
1.振蕩射流法
動態表面張力廣泛應用于噴射過程的研究和模擬,如空氣中殺蟲劑的表面張力幾個毫秒內顯著變化,對農藥在植物葉面上的迅速均勻鋪展極其重要。振蕩射流技術在工農業中越來越受到重視。
振蕩射流法的測定時間范圍可低達1ms左右。液流在一定壓力下從橢圓形管口噴出時.射流可做周期性振動,形成一連串的波形。波形的產生是由于液體表面張力具有使液流由橢圓形變為圓形的傾向和射流慣性力的相互作用。波長隨時間而變大。當液體黏度η<20mPa·s時,動態表面張力為:
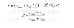
式中,ρ是液體密度;W是射流流量;λ是射流波長;r是射流的平均半徑。
式中,rmax與rmin分別為射流zui大半徑與zui小半徑,可用橢圓長半徑與短半徑代表。通過測定不同時間的射流流量形和射流波長x,可得到σ一t關系。彤值可由收集的射流液體的質量而得,射流波長可用光學攝影法得到。應用時要注意近噴口處幾個波的波長會偏離常值,應加以校正。實驗中射流的穩定十分重要,恰當地選取流動條件和橢圓噴嘴,該法能廣泛用于許多液體如熔融金屬、溶液、漿等表面張力的測定。
振蕩射流法的zui大優點是振蕩射流的形成幾乎完全模擬了噴射過程,實驗中流體首先在毛細管中,然后由噴口噴出一個自由的表面流,這與工農業上的噴霧過程相同。這個過程中表面張力起推動液體振蕩而不是噴霧,但由于液體向前的流出條件是一致的,表面張力值相同。
2.旋滴法
如前所述,一般將表面張力值在10-3~10-1mN/m時稱為低表面張力,10-3mN/m以下稱為超低表面張力。旋滴法是目前測定超低界面張力zui簡便的方法。
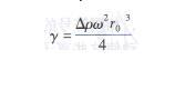
測定原理:在樣品管中裝入高密度的液體,再加入少量低密度液體,密閉后,將其置于旋滴儀中使其以w角速度旋轉。在離心力、重力及表面張力作用下,低密度液體在高密度液體中形成圓柱形液滴。設圓柱形長為ι,半徑為r0,兩液體的密度差為△ρ。當圓柱形長度與直徑的比率大于4時,表面張力γ可由Vomltegut方程求出:
旋滴法能夠用于許多體系的界面張力研究,如聚合物熔體、瀝青、原油、有機溶劑,使用時要求兩相密度不同,為便于觀察內部液滴的直徑,要求較重相液體是透明的。
設備的操作條件對實驗度影響較大,轉速對實驗結果也有影響。由于低密度相的液滴在高密度相中擴大,實驗中半徑r不能夠直接測量,而r的準確度對測量結果至關重要,所以實驗前需要測定擴大校正因數FC。一般,.FC可通過一系列明亮的棒的半徑測量值和實際值的比率求得。FC與高密度相的性質和溫度有關,當考察表面活性劑對界面張力的影響時,每個濃度都要測量,繁瑣并且費時。FC等于高密度相的折射率,純凈物的折射率很容易查到,混合物的折射率卻很難查到。采用方形樣品管代替圓柱形樣品管可以省去FC的測量。
3.懸滴法
懸滴法實質上是滴外形法的一種。滴外形法是根據液滴的外形來測定表面張力和接觸角的方法,既有懸滴法又有躺滴法,其原理是根據Laplace關于毛細現象的方程:
△P=γ(1/R1+1/R2)
式中,γ為表面張力;R1和R2表示曲面半徑;△p為界面上的壓力差。
懸滴法測定表面張力,測量的量程寬(0.0l一80mN/m),且不依賴于接觸角,對聚合物、液晶以及其他低摩爾質量液體都能夠很好地適用,測量難熔金屬的表面張力具有獨特的優勢。
早期,要經過查表獲取表面張力值,實驗較為繁瑣,隨著數字化技術和計算機技術的發展,經過許多學者的改進,使用軸稱滴形分析(axisymmetficdropshapeanalysis,ADSA)技術實現了自動測量,運算過程只需輸入重力加速度g和密度差△p的值。儀器主要由高壓高溫測量池(附帶2個硼硅玻璃觀察窗)、不銹鋼毛細管(產生懸滴)、光學系統(線性光源、數字相機、顯微鏡)、數據處理系統(電腦、商業軟件、數字化儀)、測(控)溫和測(控)壓系統、真空系統組成。





